忍者ブログ

からすまる日誌

2020033103

×

[PR]上記の広告は3ヶ月以上新規記事投稿のないブログに表示されています。新しい記事を書く事で広告が消えます。

2020033103

 
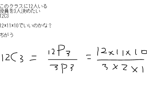
このクラスに12人いる
役員を3人決めたい
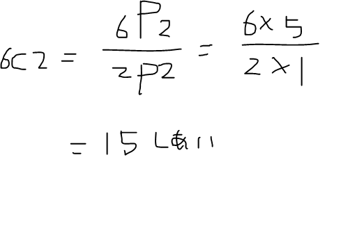
12C3
 
12*11*10でいいのかな?
 
ちがう
 
これが「組み合わせ」
 

組み合わせは並べる順番はどうでもよくて、それが入ってればいいみたいな雰囲気。そこが順列と違う
組み合わせにおいては(おそらく)123も213も321も同じものなんだろうと思う
順列だったらそれは違うはずだと思う
 
 

確率:
全事象ぶんの起こる数
1以内の数になる
 

232p
統計
 
正規分布
これは大事。マークしましょう
自然とばらつきがありますよというもの
 
>確率論や統計学で用いられる正規分布(せいきぶんぷ、英: normal distribution)またはガウス分布(英: Gaussian distribution)は、平均値の付近に集積するようなデータの分布を表した連続的な変数に関する確率分布である。
 

235p
ビットとは信号の単位
回線の速度でもビットを使う
 
1Gとかいうのはあれは単位はビット 
 
バイトは情報の分量
ビットは信号の量
 
単位時間あたりにビット信号を何個流せるかが速度の単位bps(ビットパーセカンド 一秒間に何ビット流せるか)
 
英数字が1つ8ビットらしい
むかしの54kbpsだと
54000bpsを8でわって
1秒に6750文字
6.75kb
 

235p
1000倍ずつ単位が変わるがほんとーは1024
 
16ビット使うと何通り?
2の16乗
65536
むこのごんざぶろう
 
PR

コメント

ブログ内検索

カレンダー

11 2025/12 01
S M T W T F S
1 2 3 4 5 6
7 8 9 10 11 12 13
14 15 16 17 18 19 20
21 22 23 24 25 26 27
28 29 30 31